Find phases in my sample
Phase Identification
Unlock deeper insights from your measurements with our analysis services—and connect with specialists when you need expert guidance.

In addition to our measurements-as-a-service, we offer powerful analysis services that unlock deeper insights complementary to your purchased measurements and can be added at any time, whenever you need them.
Phase Identification
Rietveld refinement (single primary phase)
Semiquantitative phase analysis
Quantitative phase analysis
PDF qualitative assessment
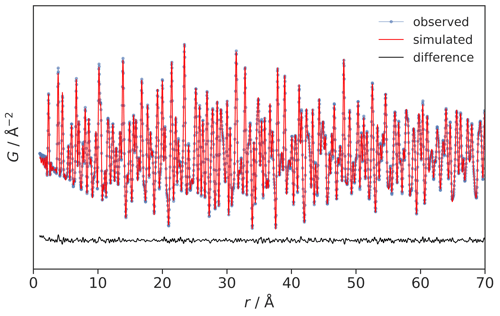
PDF structure analysis (single primary phase)
SAXS data analysis
Search on method, industry, or application.
Set up a preliminary call to discuss your project.
Get guidance and results to accelerate your R&D.
Expert Support
Find a specialist by method, industry, or application and book a meeting to discuss your project.
No Experts Found
Try adjusting your search or filter criteria.
Are you looking to share your expertise with researchers and organizations? Service providers and research specialists are welcome to join our network. Please get in touch with us for more information.
Contact UsNeed help with your Momentum Transfer measurements? Our team responds within a day.
Email our team